-
Pangolins on the Brink as Africa-China Trafficking Persists Unabated
May 24, 2018 By Sharon Guynup
Acting on a tip, Nigerian customs operatives raided an apartment in the southwest city of Ikeja in February. Inside, they found some 4,400 pounds of pangolin scales, and 218 ivory tusks—and arrested a Chinese suspect, Ko Sin Ying, who lived there.
A few months earlier, at the other end of a well-worn trade route, Chinese customs officials made the largest-ever seizure of pangolin scales in the port of Shenzhen. They discovered an “empty” shipping container that had come in from Africa—stuffed with 13 tons of scales. They were packaged in bags that camouflaged their true contents beneath a veneer of charcoal. That haul had killed an estimated 20,000 to 30,000 animals, each about as big as a medium-sized dog.
These incidents provide a small window into the sheer magnitude of pangolin poaching in Africa. INTERPOL estimates that seizures account for just 10 percent of the actual illegal wildlife trade. “Species in Africa are being sucked up at record-breaking levels,” says Paul Thomson, Vice Chair of the International Union for the Conservation of Nature’s (IUCN) Pangolin Specialist Group and co-founder of the conservation project Save Pangolin.
The Pangolin Crisis Goes Critical
This shy, toothless, insect-eating animal is the planet’s most-trafficked mammal and wildlife traders now target Africa’s four pangolin species because the four Asian pangolin species have been hunted to near extinction, poached off the continent.
The pangolin’s demise has sparked a wave of protection efforts, as biologists scramble to count how many are left in the wild; conservationists lobby to strengthen conservation and enforcement measures by government; and a U.S. consortium of zoos has launched a controversial captive breeding program.
Pangolins are covered in overlapping plates from nose to tail. They look like a cross between an armadillo and an anteater, though they’re related to neither. Those scales command substantial sums on the black market, but their meat, blood, and fetuses are also in high demand.
They’ve been increasingly smuggled in shipments out of Africa that sometimes include elephant ivory, says Lisa Hywood, CEO and founder of the Tikki Hywood Foundation, an animal rescue, rehabilitation, and release facility in Zimbabwe. Pangolins are shipped live, in pieces, skinned, fresh, or frozen, sometimes disguised as fish or dog biscuits. And they’re often exported with falsified documents from any of the 31 African countries they call home.

As severe as the crisis is, many people have still never even heard of the pangolin. But about a million of these solitary, nocturnal creatures have likely been killed over the last decade. The greatest demand for the animals and their parts comes from China, with significant quantities also shipped to Vietnam and Hong Kong.
Another 10 years’ poaching at current levels could wipe out the last critically endangered Chinese (M. pentadactyla) and Malayan (M. javanica) pangolins. They’ve long been under threat: An article published in 1938 in the journal Nature warned that Asian pangolin species needed greater protection. Although the commercial East Asian trade has been documented since the early 20th century, the number of customers who can afford to pay high prices for pangolin meat or medicine continues to rise in tandem with growing affluence in China and other Asian countries.
Pangolin fetus soup or meat is often the most expensive item on the menu at Asian restaurants and is served as a delicacy to flaunt wealth and influence. At special dinners, the animal is sometimes brought to the table alive, then fileted and cooked in front of guests, says IUCN’s Thomson. A recent scandal involves officials in Guangxi who are under investigation for allegedly serving pangolin at a banquet for a delegation of Hong Kong entrepreneurs.


To a lesser degree, the animal is eaten as bushmeat in Africa—an increasingly expensive delicacy sold in markets and restaurants. Pangolin is also a preferred ingredient in traditional medicine on a continent where some 80 percent of residents rely on such “cures.” A survey of traditional healers in Sierra Leone found that 22 different pangolin body parts were used to treat 59 conditions; most practitioners were unaware that they were helping push the animals toward extinction.
For millennia, pangolin scales have been cooked in vinegar, oil, boy’s urine, or roasted with dirt or oyster shells to treat a long list of health problems. These pangolin-based remedies are believed to calm hysterically crying children, stimulate lactation in nursing mothers, free women possessed by devils and ogres, drain pus, treat liver problems, malaria, deafness, and more. In Taiwan, some drink a concoction of pangolin blood and wine for its purported health benefits. Thomson has heard reports of people using it to treat cancer, which, he worries “could take pangolin poaching to a whole other level.” Pangolin scales are made of keratin, like human fingernails. They have no scientifically proven medicinal value.
The developed world also plays a role in the illegal trade: There’s been a documented decades-long leather market in the United States for pangolin skin cowboy boots, belts and wallets. Between 1980 and 1985, more than 165,000 pangolin skins were legally exported from Asia into the United States according to a report submitted to the U.S. Department of the Interior. Between 2005 and 2014, U.S. Customs officials seized about 30,000 illegally imported pangolins.
Conservationists Take Action
Pangolins are easy to catch: You don’t need a gun; they’re slow moving, not dangerous, and are easily caught in snares set for bushmeat. The animals protect themselves from top predators including lions, leopards, and hyenas by rolling into an armored ball, making it simple for hunters to snatch them up and toss them into a sack. They’re named for that behavior: The word “pangolin” comes from the Malay “pengguling,” meaning something that rolls up.
While poaching poses the greatest threat to their long-term survival, the pangolin’s slide toward oblivion has been compounded by habitat loss in both Africa and Asia, areas where human populations are exploding.
With all eight species in precipitous decline, the global conservation community responded in 2016. Pangolins were then given the highest level of protection under a multilateral treaty signed by 183 nations, the Convention on International Trade in Endangered Species (CITES).
All commercial cross-border trade in pangolins or their parts is now illegal planet-wide, which highlights the seriousness of their plight. “The fact that we have to vote for an animal to be uplisted means that we as a human race have actually failed that species,” notes Hywood.
Listing has, however, brought much-needed attention to, and funding for, pangolin conservation. The priorities now “are to really focus our efforts on stopping the poaching, stopping the trade, and stopping the demand,” says Jeffrey Flocken, senior vice president of programs and policy at the nonprofit Humane Society International.


To halt the trade, home-range countries need to back the CITES’ mandate by enacting and enforcing stringent national laws. Currently, just 17 pangolin range states have legislation that meets CITES requirements; 31 do not, says Elly Pepper, deputy director of the Natural Resources Defense Council’s Wildlife Trade Initiative. “A lot of pangolin range states don’t have strong penalties for wildlife trafficking, or sentencing guidelines, so many wildlife traffickers go unpunished.” Both China and Vietnam are signatories to CITES, but while customs officials make occasional, highly publicized busts at the borders, sale and use of pangolin products is rampant in both countries.
Hywood emphasizes that effective protection in Africa will require unified regional conservation strategies. “If we were to do it country-by-country, it would take an incredibly long time. And I believe that the pangolin, sadly, doesn’t have that much time. Time is running out,” she says.
Without political will and proper funding for enforcement, even the best laws won’t stop the slaughter. And across their range, enforcement is lacking—with most seizures and arrests happening after pangolins are already dead. Vanda Felbab-Brown, a senior fellow at the Brookings Institution in Washington, DC, says that to deter criminal activity, there must be at least a 50 to 60 percent arrest-to-prosecution rate to provide a real deterrent, or a real financial incentive.
Experts agree that educating local communities—and offering tangible rewards for conserving wildlife—is key to preventing poaching and keeping animals alive.
“General awareness is not going to save the species,” says Flocken. “We need to reach out to stakeholders on the ground who live with pangolins, and to populations that are consuming pangolins, because there will always be trade if there is demand.” He notes that it will take “serious regional campaigning in the countries stimulating the demand. We’ll have to get online, use influencers, and work with local partners who know consumers best.”
There has been some recent progress in reducing demand for exotic wildlife products in China, that may in time potentially extend to pangolins. In January, the country shut down its domestic ivory market. And a new analysis by the nonprofit environmental group WildAid estimates that consumption of shark fin soup has dropped by 80 percent in mainland China. “It seems that the younger generation is not as interested in traditional medicines as the older generation, so I think there is an opportunity to educate and create a mass change in public perception,” says Pepper.

The Need for More Knowledge
A dearth of knowledge regarding the remaining number of pangolins in the wild is hindering their conservation. So the IUCN Pangolin Specialist Group is currently gathering population data to quantify the survivors. The group is part of the IUCN Species Survival Commission, which works to save individual species by providing expert scientific knowledge, influencing policy and implementing conservation efforts in the field.
“We don’t even know how many pangolins there are left to save, so we’re fighting a silent war,” says Hywood.
But these animals are notoriously hard to count. Pangolins are solitary except when a mother is raising a pup. They’re predominantly nocturnal and many sleep burrowed underground during the day. Some are arboreal, and all are too small to detect in aerial surveys.
For these same reasons, researchers know little about pangolins beyond the basics. Both Asian and African pangolin species evolved to efficiently harvest the ants and termites they survive on, with tiny heads and sharp, lengthy claws to reach into and rip apart nests, and thick eyelids to protect them from swarming insects as they eat. Since they have no teeth, they slurp them up with long, thin, sticky tongues that extend all the way into their pelvis—the longest of any mammal, up to twice their body length. They have poor eyesight, no external ears, but excellent hearing and find their prey using their acute sense of smell.
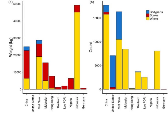
A Snapshot of the Trade
In recent years, pangolin products have been seized in 67 countries and territories across six continents, according to a recent report by TRAFFIC, a nonprofit that tracks wildlife trade.
The animals were transported along 159 unique international trade routes using every imaginable means of transport: sent via large international shipping companies, moved on foot, by motorcycle, car, train, on container ships, speedboats, and planes. TRAFFIC found that most of the air shipments out of Africa routed through Europe; traffickers shift trade routes regularly to avoid detection.
The largest shipments have come from Nigeria, Sierra Leone, Cameroon, and Uganda. Economic ties between East Asia and many African nations facilitate this illegal trade, the report says. Logging, mining, drilling, and agribusiness projects level forests and create inroads and access points to previously intact habitat all across the African continent, while improved transportation systems and busy trade routes to Asia make trafficking easier.
“The connection between a rise in poaching and trade of pangolins and other wildlife seems to coincide with a larger Chinese presence in Africa,” says Thomson.
A recent study published in the African Journal of Ecology found that hunters in Gabon are selling ever-growing numbers of pangolins to Asian workers. The animals or their parts are then smuggled across remote forested national borders. Local subsistence hunters are probably not the drivers of this illegal activity, according to Katharine Abernethy, one of the study’s authors and a professor at the University of Stirling, UK. Rather the trade “is likely to be [conducted by] criminal hunting organizations, possibly those who are also trading in ivory in the region, as the markets are similar.”
New genetics research is using pangolin DNA to create a global DNA map of the eight species, which conservationists and law enforcement can then match to seizures of smuggled pangolins to identify where the animals originate. To collect DNA, University of Washington biologist Sam Wasser and graduate student Hyeon Jeong Kim employ several dogs that they’ve trained to find pangolin feces. Wasser says that once you can identify poaching hotspots you can send in the troops.
In February, the U.S. Agency for International Development (USAID) released a new guide to help law enforcement officers identify pangolin species and pangolin parts that investigators may encounter in the field.

Pangolins in Captivity
As more trafficked pangolins are seized, conservationists are faced with a conundrum: how to successfully return confiscated pangolins to the wild, and how to successfully raise orphans. More and more, the survival of each animal counts, as every pangolin species grows ever-rarer. The animals don’t rebound quickly: They give birth to a single pup about once per year.
Unfortunately, pangolins rarely survive for long in captivity, says Lisa Hywood, for a multitude of reasons. The animals are solitary and easily stressed. They’re very sensitive to noise, changes in temperature, and as nocturnal animals, to light. They also require a not-easily-procured specialized insect diet.
To date, conservationists have achieved their greatest successes with captive pangolins in two locations: the Tikki Hywood Foundation in Africa, and Save Vietnam’s Wildlife in Asia, centers that have pioneered and perfected rescue, recovery, and release techniques over many years. Hywood is sharing what she’s learned with new pangolin rescue programs in Cameroon, Liberia, and Uganda.
One reason for Hywood’s success in rehabilitating and releasing pangolins, she says, is that the animals are never caged. Instead, all are assigned a single minder who walks with them in the bush every day, taking them to nests to feed and caring for them until they can be released.
In 2016, a number of U.S. zoos partnered to launch an effort to raise and breed pangolins in captivity. The Pangolin Consortium—comprised of six zoos and a recently formed nonprofit, Pangolin Conservation—imported 45 white-bellied pangolins from Togo. The animals were located by African farmers then collected by a “trained acquisition team,” according to a recent report submitted to the Pangolin Specialist Group.
The researchers at the zoos hope to gain an understanding about pangolin gestation and treatment of disease, along with other knowledge that could increase survivability of confiscated animals, says Bill Ziegler, a spokesman for the consortium and the senior vice president of animal programs at the Chicago Zoological Society’s (CZS) Brookfield Zoo.
One of the captive animals is currently being exhibited at Chicago’s Brookfield Zoo, while the rest remain secluded and out of public view.
Some experts are dubious of the effectiveness of the consortium’s approach. Hywood says that conditions in a U.S. zoo are so different from that of a wild pangolin in Africa or Asia that information gleaned from these captive animals may not translate.
Flocken also questions the worth of the project: “Whatever knowledge they can gain about how to reproduce [these animals] in captivity, particularly given the lack of success of this [effort], despite decades and decades of trying, is questionable at best.” He does acknowledge the valuable role that zoos, governments, and the public can play in helping save pangolins in situ through education and financial contributions, citing the Houston Zoo, which supports conservation in the wild—without physically keeping captive pangolins.

Others have been troubled by what they call an air of secrecy, which has surrounded the Pangolin Consortium’s effort from the start. The IUCN SSC Pangolin Specialist Group and a number of nonprofits contacted the consortium in 2016 and asked for specific information about its pangolin husbandry practices and conservation strategy. There was concern then over the import of endangered wild animals from Africa, and about protocols: The consortium had failed to reach out to experts with the greatest knowledge of pangolin care. It also took two years for the consortium to respond to those questions and its website remains virtually data-free.
Some common ground has been found, however. At a recent meeting between the Pangolin Consortium and pangolin conservation organizations, the U.S. zoos committed to not importing any more pangolins from the wild.
Mongabay learned that eight of the females arrived in the United States pregnant, and each birthed one pup. Five of those eight survived, and five more females are pregnant.
But of the 45 adults that were imported, only 29 remain alive. The number of deaths, say pangolin experts, underscores The US Fish and Wildlife Service’s conclusion that “Pangolins in general do not thrive in captivity.” The world’s top experts at the IUCN SSC Pangolin Specialist Group rated pangolin “conservation breeding” among its lowest priorities in its 2014 Conservation Action Plan.
Uncertain Future
Pangolins are highly intelligent animals, and occupy a unique branch on the tree of life—being the only creature in the Pholidota order. It split off from Carnivora some 87 million years ago, an order that includes cats, dogs, bears, seals, and other meat eaters.
Hywood notes that in general, humans feel more inclined to save animals that live in socially structured families, including elephants or chimps. She argues that pangolins fall into this category because of the many social activities a mother pangolin uses to nurture her new born: breastfeeding, keeping her infant clean, and carrying her offspring on her back for the first months of life.
“They protect that baby with their entire being.” She adds that “as humans, we need to start accepting what we are destroying—and say enough is enough.”
The survival of these unusual animals is intrinsically linked to the survival of other species, says Hywood, who calls the pangolin “nature’s true gardeners.” As they dig for ants and termites, they loosen and aerate the soil, she explains, creating “an environment where seeds can germinate and grow into plants that feed other species.” Pangolins offer another important ecosystem service: They regulate ant and termite populations, with a single adult individual consuming millions of insects each year.
While some African governments are strengthening their pangolin protections, it’s not happening fast enough. In 2017, officials seized about 47 tons of scales on the continent. That statistic alone indicates that pangolins are in an extremely dire position, remaining in high demand in Asia and elsewhere.
All hands are needed on deck to prevent extinction, says Thomson. “I wake up at night gripped with fear for all eight species.”
Sharon Guynup is a global fellow at the Wilson Center who specializes in wildlife, ecosystems and environmental issues. She is a National Geographic Explorer, writes for National Geographic Magazine, The New York Times, and other publications, and is co-author of the book Tigers Forever: Saving the World’s Most Endangered Big Cat.
Sources: African Journal of Ecology, Brookings Institution, Humane Society International, IUCN Pangolin Specialist Group, IUCN Species Survival Commission, Mongabay, Natural Resources Defense Council, Nature Resource Defense Council, Save Pangolins, Shanghaiist, Tikki Hywood Foundation, TRAFFIC, University of Stirling, Nature, US Agency for International Development, Washington University, Wild Aid
Photo Credits: courtesy of University of Adelaide/TRAFFIC, courtesy of Tikki Hywood Trust











